• Предмет: Математика
  • Автор: lcaycifton
  • Вопрос задан 8 лет назад

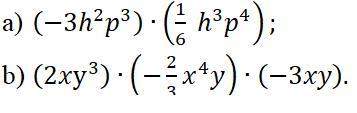
Выполнить умножение одночленов *

Приложения:

Ответа на этот вопрос пока нет. Попробуйте найти его через форму поиска.

Вас заинтересует