• Предмет: Математика
  • Автор: vlad6666666
  • Вопрос задан 8 лет назад

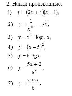
Помогите пж. даю 60б

Приложения:

Ответа на этот вопрос пока нет. Попробуйте найти его через форму поиска.

Вас заинтересует