Ответы
Ответ дал:
0
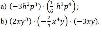
Ответ:
а) 1/2h^5p^7
B)4x^6y^5
Пошаговое объяснение:
Приложения:

Вас заинтересует
2 года назад
3 года назад
8 лет назад
8 лет назад
9 лет назад