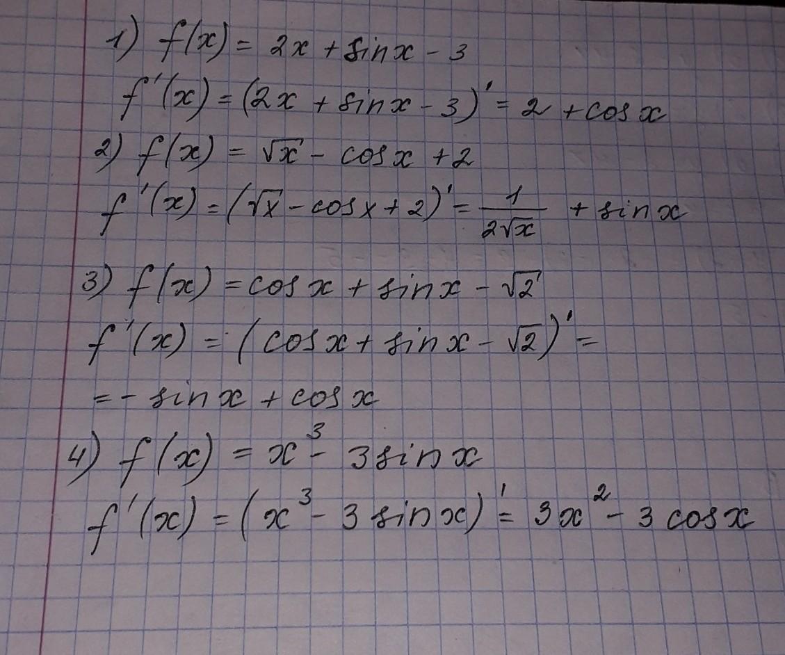
44.1. Найдите производную функции:
1) f(x) = 2х + sinx – 3;
2) f(x) = корень х — cosx + 2;
3) f(x) = cosx + sinx - корень 2 ;
4) f(x) = x^3 — 3sinx. Срочно!!! Пожалуйста
Ответы
Ответ дал:
0
Ответ:
.................
........
Приложения:

Вас заинтересует
2 года назад
2 года назад
3 года назад
3 года назад
8 лет назад
8 лет назад
9 лет назад