• Предмет: Алгебра
  • Автор: Аноним
  • Вопрос задан 11 лет назад

ПОМОГИТЕ С АЛГЕБРОЙ *-*

Приложения:

Ответы

Ответ дал: squere
0

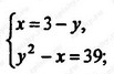
ну у тебя уже выражен x в первом уравнении(x=3-y), подставим его значение во второе:

y^2-(3-y)=39;

y^2+y-3-39=0;

y^2+y-42=0;

D=b^2-4ac=1-4*1*(-42)=1+168=169;(D - дискриминант)

y1=-b-sqrt(D)/2a=-1-13/2=-7

y2=-b+sqrt(D)/2a=-1+13/2=6

находим значение х при у=-7 и при у=6:

x1=3-(-7)=10

x2=3-6=-3

 

Ответ: (10;-7);(10;6);(-3;6);(-3;-7)

 

Вас заинтересует