• Предмет: Математика
  • Автор: akhmadulka1980
  • Вопрос задан 8 лет назад

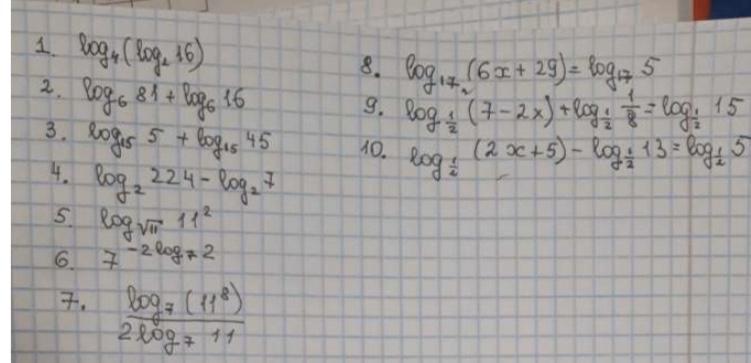
Помоги пожалуйста, очень срочно!!!Логарифмы!

Приложения:

Ответа на этот вопрос пока нет. Попробуйте найти его через форму поиска.

Вас заинтересует