• Предмет: Математика
  • Автор: daria123457
  • Вопрос задан 8 лет назад

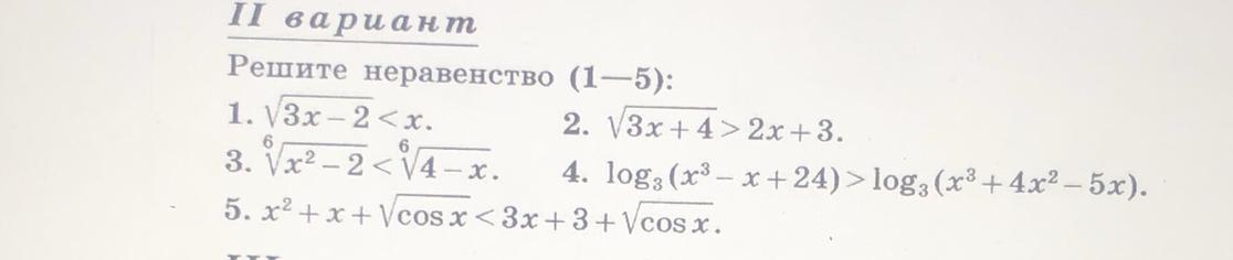
Решите 2 вариант , пожалуйста!!

Приложения:

Ответа на этот вопрос пока нет. Попробуйте найти его через форму поиска.

Вас заинтересует