Ответы
Ответ дал:
0
Ответ:
Пошаговое объяснение:
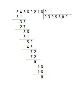
84562218 : 9 = 9395802
Приложения:

Вас заинтересует
2 года назад
2 года назад
3 года назад
8 лет назад
9 лет назад
9 лет назад