Ответы
Ответ дал:
0
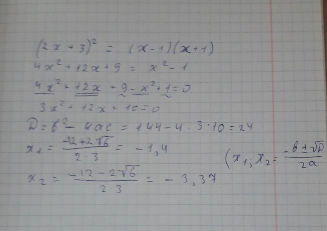
Ответ:
1) х1=-2,4
х2=-3,37
Объяснение:
Объяснение на фото. Решаем, используя формулы
Приложения:

Вас заинтересует
3 года назад
3 года назад
8 лет назад
9 лет назад
9 лет назад