• Предмет: Геометрия
  • Автор: catwargifka
  • Вопрос задан 8 лет назад

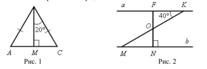
1) Д а н о : АВС (рис. 1).

Н а й т и : углы АВС.

2) Д а н о : а || b (рис. 2).

Н а й т и : углы треугольника MON​

Приложения:

Ответа на этот вопрос пока нет. Попробуйте найти его через форму поиска.

Вас заинтересует