• Предмет: Математика
  • Автор: germanovaleriia
  • Вопрос задан 8 лет назад

Математика. Решите систему уравнений.

Приложения:

Ответы

Ответ дал: n1ksonaa
0

Ответ:

y=-2/3

x=9

Пошаговое объяснение:

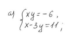
xy= -6

x-3y= 11

x=11+3y

(11+3y)y=-6

3y2+11y+6=0

y1=(-11-7)/2*3=-3

y2=(-11+7)/2*3=-2/3

x*(-2/3)=-6

x=9

Вас заинтересует