• Предмет: Алгебра
  • Автор: katekek23
  • Вопрос задан 8 лет назад

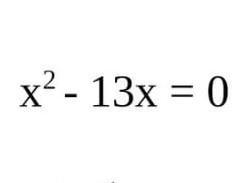
Решите уравнение. ДАМ 25 БАЛЛОВ ​

Приложения:

Ответы

Ответ дал: alyonakuznetsowa2018
0

Х(х-13)=0

1случ)х=0;

2случ)х-13=0=>х=13

Ответ : 0; 13

Вас заинтересует