• Предмет: Алгебра
  • Автор: elik2200
  • Вопрос задан 8 лет назад

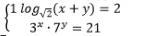
помогите пж, срочно осталось 10 минут что бы сдать

Приложения:

Ответа на этот вопрос пока нет. Попробуйте найти его через форму поиска.

Вас заинтересует