• Предмет: Математика
  • Автор: leylacommusaeva
  • Вопрос задан 8 лет назад

помогите решить задачи, срочно, пожалуйста
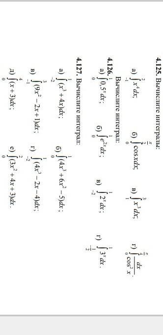
4.125 а, в
4.126 а, б
4.127 а, в​

Приложения:

Ответа на этот вопрос пока нет. Попробуйте найти его через форму поиска.

Вас заинтересует