• Предмет: Математика
  • Автор: valera12121212212
  • Вопрос задан 8 лет назад

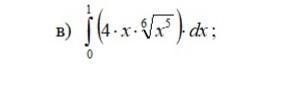
Даю 13 баллов. Решить интеграл разбиением на 2 части

Приложения:

Ответа на этот вопрос пока нет. Попробуйте найти его через форму поиска.

Вас заинтересует