• Предмет: Алгебра
  • Автор: mashajey666
  • Вопрос задан 8 лет назад

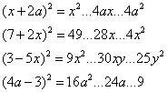
Вставьте пропущенные знаки:

Приложения:

Ответы

Ответ дал: veronikatveretinova8
0

квадрат суммы равен квадрату первого выражения плюс удвоенное произведение первого на второе плюс квадрат второго выражения.

квадрат разности равен квадрату первого выражения минус удвоенное произведение первого на второе плюс квадрат второго выражения.

1) ++

2) ++

3) –+

4) –+

Ответ дал: mashajey666
0
спасибо большое))
Вас заинтересует