• Предмет: Геометрия
  • Автор: 89200233896
  • Вопрос задан 8 лет назад

Помогите пожалуйста и с решением пожалуйста

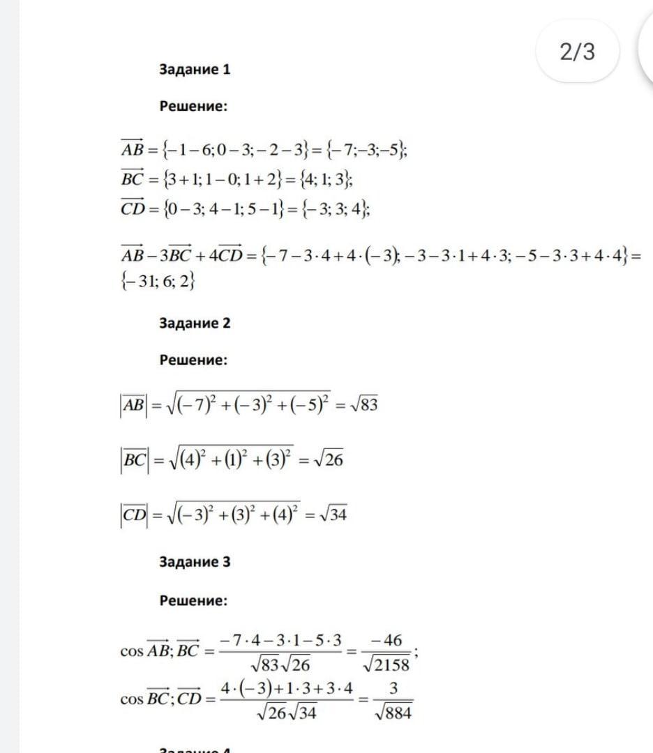
Приложения:

Ответа на этот вопрос пока нет. Попробуйте найти его через форму поиска.

Вас заинтересует