• Предмет: Математика
  • Автор: emiliaponchik2007
  • Вопрос задан 8 лет назад

Подробно пожалуйста!!!​

Приложения:

Ответы

Ответ дал: Amaimoon
0

Ответ:

-0,75

Пошаговое объяснение:

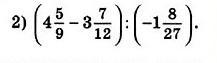
(4frac{5}{9}-3frac{7}{12}):(-1frac{8}{27})

Для удобства счета переводим смешанную дробь в неправильную:

afrac{b}{c}=frac{c*a+b}{c}

4frac{5}{9}=frac{41}{9}\3frac{7}{12}=frac{43}{12}\-1frac{8}{27}=-frac{35}{27}\\(frac{41}{9}-frac{43}{12}):(-frac{35}{27})

1)frac{41}{9}-frac{43}{12}=frac{164}{36}-frac{129}{36}=frac{35}{36}\2)frac{35}{36}*(-frac{27}{35})=frac{27}{36}=-frac{3}{4}=-0,75

В первом действии общий знаменатель 36.

Во втором действии разделить на дробь означает то же, что и умножить на перевернутую:  frac{a}{b}:frac{c}{d}=frac{a}{b}*frac{d}{c}

Вас заинтересует