• Предмет: Математика
  • Автор: Nekitossssss
  • Вопрос задан 8 лет назад

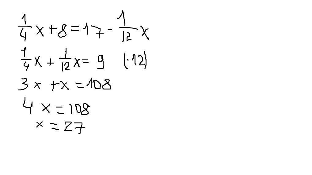
14х+8=17-112х помогите решить уравнение

Ответы

Ответ дал: rudenko232015
0

Ответ:

27

Пошаговое объяснение:

Приложения:
Вас заинтересует