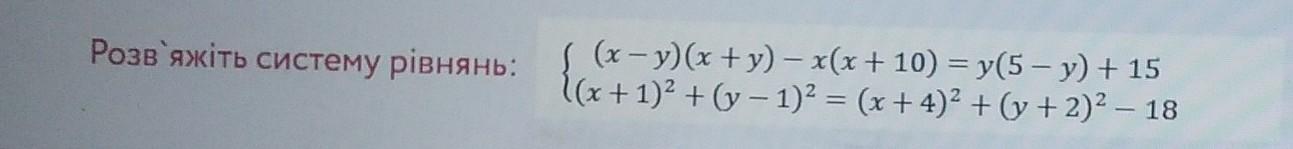
Помогите пожалуйста мне пжжжжжж одам всё что есть! Помогите пожалуйста пжжжжжж помогите пожалуйста мне
Приложения:

Ответы
Ответ дал:
0
.......................
Приложения:

Вас заинтересует
2 года назад
2 года назад
3 года назад
3 года назад
8 лет назад
8 лет назад
9 лет назад
9 лет назад