• Предмет: Математика
  • Автор: chiernopitskii
  • Вопрос задан 8 лет назад

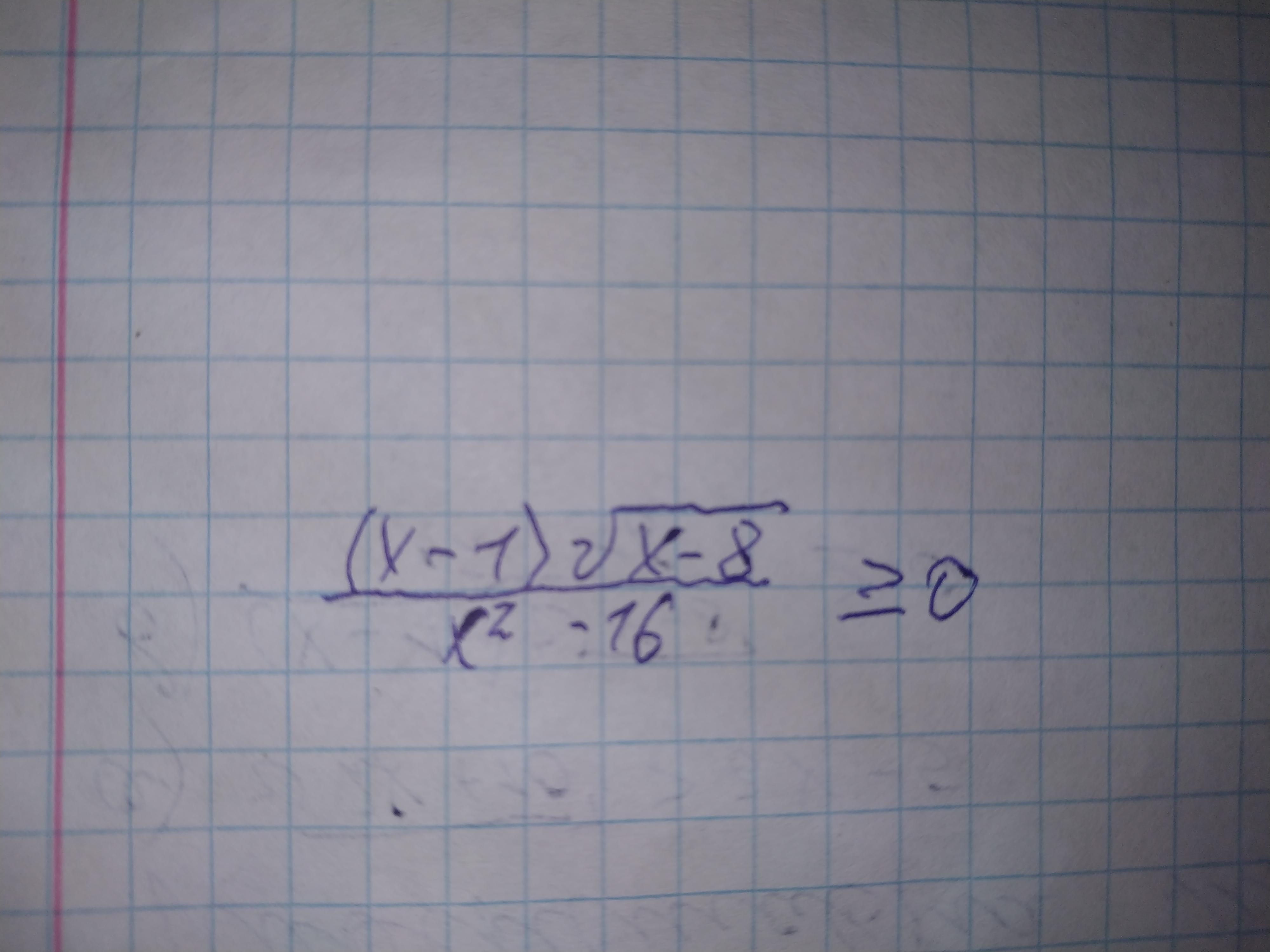
Решите пожалуйста матем пример

Приложения:

Ответы

Ответ дал: razladintim9
0

Пошаговое объяснение:

X ≥ 8

Вас заинтересует