• Предмет: Алгебра
  • Автор: vadik123456789123
  • Вопрос задан 8 лет назад

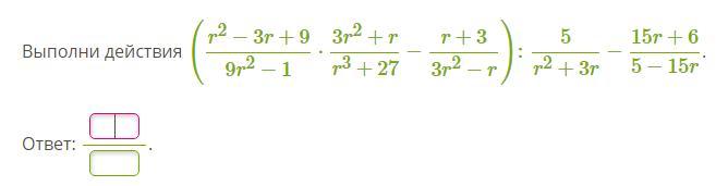
пожалйста помогите пж!!!!!!!!!!!!!!!!!!!!!!!!!!

Приложения:

Ответа на этот вопрос пока нет. Попробуйте найти его через форму поиска.

Вас заинтересует