• Предмет: Алгебра
  • Автор: yarlykovanataliya
  • Вопрос задан 8 лет назад

Помогите решить. Срочно! Дам 10 баллов!

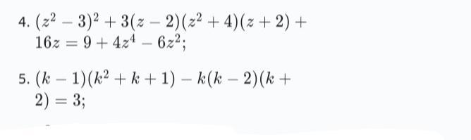
Приложения:

Ответы

Ответ дал: marinagrigorieva86
0
Решение:
Ответ 4. z=3
Ответ 5. k=1
Ответ дал: vadik123456789123
0

Ответ:

Объяснение: z=3

k=1

вот

Вас заинтересует