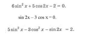
Решите пожалуйста эти тригонометрические уравнения. Прошу пошаговое решение. Даю 54 бала
Приложения:
Ответа на этот вопрос пока нет. Попробуйте найти его через форму поиска.
Вас заинтересует
2 года назад
3 года назад
3 года назад
9 лет назад
9 лет назад
10 лет назад
10 лет назад