ДАЮ 30 БАЛЛОВ, ПОЖАЛУЙСТА ПОМОГИТЕ
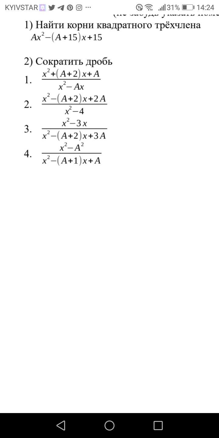
Вместо А нужно подставить число 17 и разложить на множители
ОЧЕНЬ НАДО УМОЛЯЮ
ВНИЗУ ЕСТЬ ПРИМЕР
Приложения:
Ответа на этот вопрос пока нет. Попробуйте найти его через форму поиска.
Вас заинтересует
2 года назад
3 года назад
3 года назад
9 лет назад
10 лет назад
10 лет назад