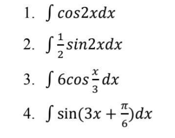
Помогите срочно. Найти неопределённый интеграл, подведя функцию под знак дифференциала.
Приложения:

Ответа на этот вопрос пока нет. Попробуйте найти его через форму поиска.
Вас заинтересует
2 года назад
3 года назад
8 лет назад