• Предмет: Алгебра
  • Автор: arujanerbossyn
  • Вопрос задан 8 лет назад

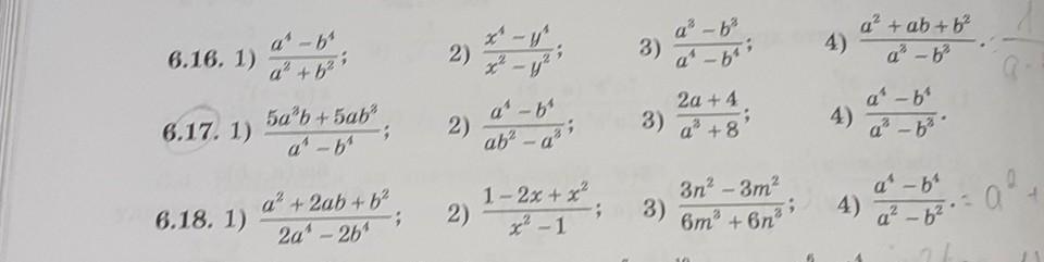
В упражнениях 6.16-6.18 сократите скобки​

Приложения:

Ответы

Ответ дал: vikabella
0

#6.16

1)a^2-b^2

2)x^2+y^2

3)a^2+ab+b^2(дробь)a^3+ab^2+a^2b+b^3

4)1(дробь)a-b

Вас заинтересует