• Предмет: Физика
  • Автор: azizbekrah
  • Вопрос задан 8 лет назад

Мальчик, масса которого равна 50 кг, бежавший со скоростью 6 м/с, догнал тележку массой 30 кг, которая двигалась со скоростью 2 м/с, и запрыгнул на неё. Чему равна скорость тележки с мальчиком? Пж ответьте на этот вопрос там напишите Дано решение пж

Ответы

Ответ дал: 10010010010010010010
0

Ответ:

Решение: 

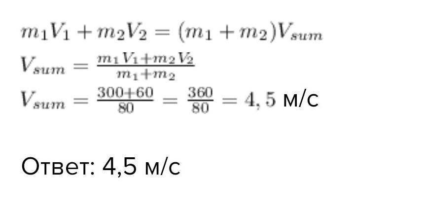
Закон сохранения импульса. Распишем, что было до и после взаимодействия. Все действия происходили вдоль оси х, поэтому со знаками заморочек не будет.

До: мальчик бежал - импульс p=m1V1, тележка двигалась - импульс p=m2V2

После: тележка и мальчик начали двигаться вместе - импульс p=(m1+m2)Vоб

 

м/с

Ответ: 4,5 м/с

Приложения:
Вас заинтересует