96 БАЛОВ!!!
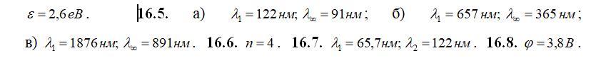
16.5) Определить длину волны в сериях Лаймана, Бальмера, Пашена и длину волны - границы этих серий в атоме водорода.
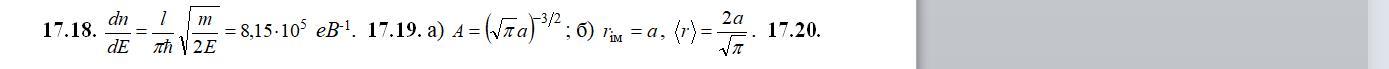
17.18)Вычислить плотность состояний (количество энергетических уровней в единичном интервале энергий) для электрона в бесконечно глубокой потенциальной яме как функцию энергии и найти значение этого плотности для E= 1,0 эВ, если ширина ямы составляет l= 1,00 мм.
Ответы в фото ниже
Приложения:


Ответа на этот вопрос пока нет. Попробуйте найти его через форму поиска.
Вас заинтересует
2 года назад
2 года назад
3 года назад
3 года назад
8 лет назад
8 лет назад
9 лет назад
9 лет назад