• Предмет: Алгебра
  • Автор: Masha442
  • Вопрос задан 11 лет назад

ПОМОГИТЕ! 
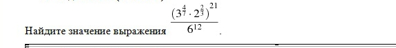
Задание во вложении!

Приложения:

Ответы

Ответ дал: prostomama1
0
Смотри ответ на фото 
Приложения:
Вас заинтересует