• Предмет: Алгебра
  • Автор: vladislava20038
  • Вопрос задан 8 лет назад

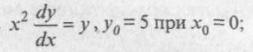
Срочно! помогите пожалуйста. ДАЮ 25 БАЛЛОВ! найти частное решение дифференциального уравнения первого порядка, удовлетворяющее указанным начальным условиям

Приложения:

Ответа на этот вопрос пока нет. Попробуйте найти его через форму поиска.

Вас заинтересует