Блок-схема вычислительного алгоритма
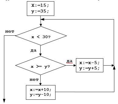
Дан фрагмент блок-схемы вычислительного алгоритма.
Какие из представленных значений примут переменные х и y (выделите их цветом)?
x: 20, 25, 30 y: 20, 25, 30
Приложения:
Ответа на этот вопрос пока нет. Попробуйте найти его через форму поиска.
Вас заинтересует
2 года назад
2 года назад
3 года назад
9 лет назад
9 лет назад
10 лет назад