• Предмет: Алгебра
  • Автор: jdaghjwvdha
  • Вопрос задан 8 лет назад

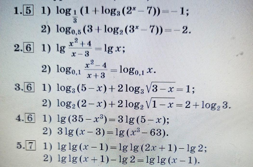
Помогите пожалуйста решить пример, 2.6 , 2

Приложения:

Ответа на этот вопрос пока нет. Попробуйте найти его через форму поиска.

Вас заинтересует