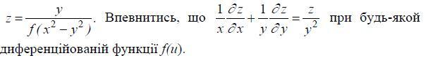
Пожалуйста, помогите с заданиями. В третьем задании просят найти экстремум.
Буду весьма благодарен, если вы скинете ход решений всех заданий
Приложения:
Ответа на этот вопрос пока нет. Попробуйте найти его через форму поиска.
Вас заинтересует
2 года назад
2 года назад
3 года назад
3 года назад
9 лет назад
10 лет назад
10 лет назад