• Предмет: Химия
  • Автор: zhiznbol54
  • Вопрос задан 8 лет назад

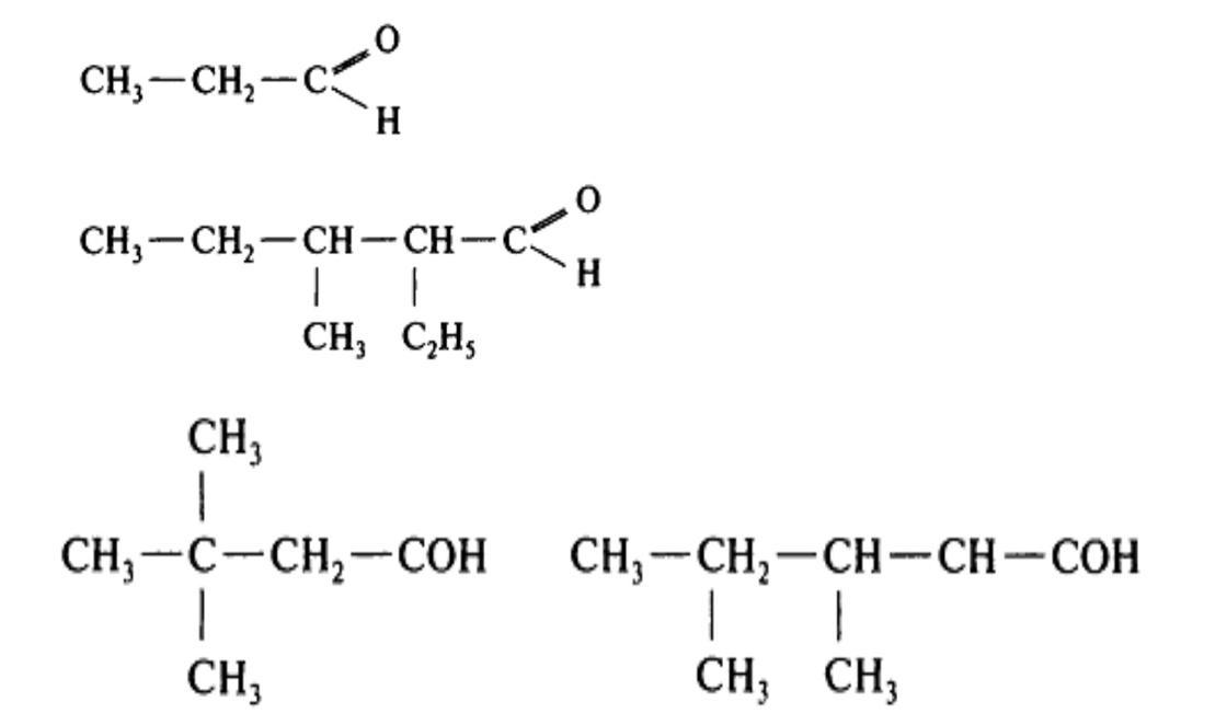
Назовите вещества, формулы которых:
(см. фото)

Приложения:

Ответы

Ответ дал: Ranger123
0

Ответ:

1)пропаналь

2) 2-этил-3-метилпентаналь

3)3-диметилбутаналь

4)3,4-диметилпентаналь

Объяснение:

Вас заинтересует