• Предмет: Алгебра
  • Автор: fgdgdgz45
  • Вопрос задан 8 лет назад

Решите, дам много баллов ( с объяснением)

Приложения:

Ответы

Ответ дал: QDominus
0

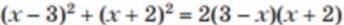
(x - 3)^{2}  + (x + 2)^{2}  = 2(3 - x)(x + 2) \  {x}^{2}  - 6x + 9 +  {x}^{2}  + 4x + 4 = 2(3x + 6 -  {x}^{2}  - 2x) \ 2 {x}^{2}  - 2x + 13 = 2(x -  {x}^{2}  + 6) \ 2 {x}^{2}  - 2x + 12 = 2x - 2 {x}^{2}  + 12 \ 4 {x}^{2}  - 4x = 0 \ 4x(x - 1) = 0 \ x _{1}  = 0 \ x_{2} = 1

Ответ: 0, 1

Ответ дал: n1982
0
вы потеряли 1. в результате 1 это не корень
Ответ дал: n1982
0

Ответ:

по формуле возводим в квадрат. справа перемножаем все

х²-6х+9+х²+4х+4=2(3х+6-х²-2х)

2х²-2х+13=2(х+6-х²)

2х²-2х+13=2х+12-2х²

теперь все переносим влево

2х²-2х+13-2х-12+2х²=0

4х²-4х+1=0

получили квадратное уравнение

Д=16-16=0

х=1

Объяснение:

Вас заинтересует