• Предмет: Алгебра
  • Автор: denik838
  • Вопрос задан 8 лет назад

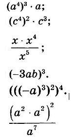
Упростить выражения по правилам

Приложения:

Ответа на этот вопрос пока нет. Попробуйте найти его через форму поиска.

Вас заинтересует