• Предмет: Алгебра
  • Автор: Аноним
  • Вопрос задан 8 лет назад

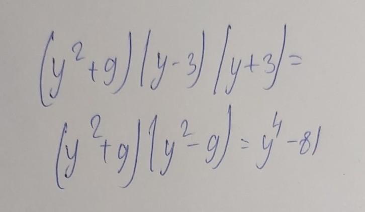
Решите пожалуйста (y²+9)(y-3)(y+3)

Ответы

Ответ дал: skakunostap
0

Ответ:

(y⁴-81)

Объяснение:

(y²+9)(y-3)(y+3)=(y²+9)(y²-9)=(y⁴-81)

Ответ дал: aag2109i
0

Ответ:

ответ смотри во вложение.

Приложения:
Вас заинтересует