• Предмет: Алгебра
  • Автор: Jeka1807
  • Вопрос задан 8 лет назад

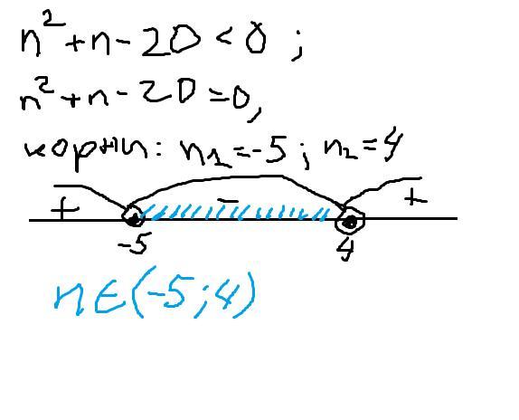
решить n^2+n-20<0 БЫСТРЕЕ ПЖ

Ответы

Ответ дал: solving05
0

Ответ:

Объяснение:

решение в приложении

Приложения:
Ответ дал: jarckovaul
0

Ответ:

Объяснение:

n²+n-20=0 Д=1²-4×1×(-20)=81 х1=-5, х2=4

n²+n-20<0  , (х+5)(х-4)<0

------------- --------------- -------------

    +        -5        -        4      +

(-5;4)

Приложения:
Вас заинтересует