• Предмет: Математика
  • Автор: polina7888889
  • Вопрос задан 8 лет назад

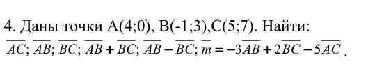
Даны точки А(4;0), В(-1;3),C(5;7). Найти:

Приложения:

Ответы

Ответ дал: kohletsnikita
0

Ответ:

решение в скане

Пошаговое объяснение:

Вас заинтересует