• Предмет: Физика
  • Автор: LeoNickols
  • Вопрос задан 8 лет назад

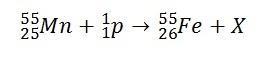
Какая частица Х испускается в результате следующей реакции:

Приложения:

Ответы

Ответ дал: SmartCin4376
0

Ответ:

нейтрон

Объяснение:

Суммы массовых и зарядовых чисел должны быть равны=> 55+1 = 55+x;

25+1 = 26+y => y = 0(зарядовое число);x = 1(массовое число) => это нейтрон

Вас заинтересует