• Предмет: Алгебра
  • Автор: sfa
  • Вопрос задан 11 лет назад

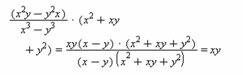
x^2y-y^2x x^3-y^3*(x^2+xy+y^2)

^-степень
-дробная черта

Ответы

Ответ дал: Evklid61
0
Рискну предположить, что дробь умножается на выражение в скобках. Тогда будем иметь

Приложения:
Вас заинтересует