Ответы
Ответ дал:
0
Ответ:
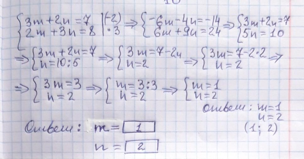
1) m = 1 n = 2
Объяснение:
1) 3m +2n = 7
3*1 + 2*2 = 7
2m + 3n = 8
2*1 + 3*2 = 8
2) Не понял, прости
Ответ дал:
0
Ответ:
Решите систему уравнений.
Приложения:


Вас заинтересует
2 года назад
2 года назад
3 года назад
3 года назад
8 лет назад
8 лет назад
9 лет назад