• Предмет: Математика
  • Автор: mragzam19
  • Вопрос задан 8 лет назад

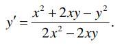
1)Найдите общее решение однородного дифференциального уравнения.

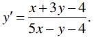
2)Найти общее решение неоднородного дифференциального уравнения

Приложения:

Ответы

Ответ дал: marieshalmt
0

Ответ:

1.у=     2    2       2    4    3        2  2

      3х-2х   у+ху-2х+4х  у- 2х  у

-------------------------------------------------------------------------

            2       2    3

    -2ху   +3х  у+у

Пошаговое объяснение:

2.я не знаю)

Вас заинтересует