• Предмет: Алгебра
  • Автор: osidhcjskosdhhd
  • Вопрос задан 8 лет назад

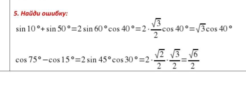
срочно нужно помогите сделаиь пожалуйста очень прошу даю 35 Балов ​

Приложения:

Ответа на этот вопрос пока нет. Попробуйте найти его через форму поиска.

Вас заинтересует