Ответы
Ответ дал:
0
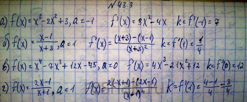
Ответ:Решение уравнения
Приложения:

Ответ дал:
0
Мне нужен 43.1
Вас заинтересует
2 года назад
3 года назад
3 года назад
8 лет назад
9 лет назад
9 лет назад