Ответы
Ответ дал:
0
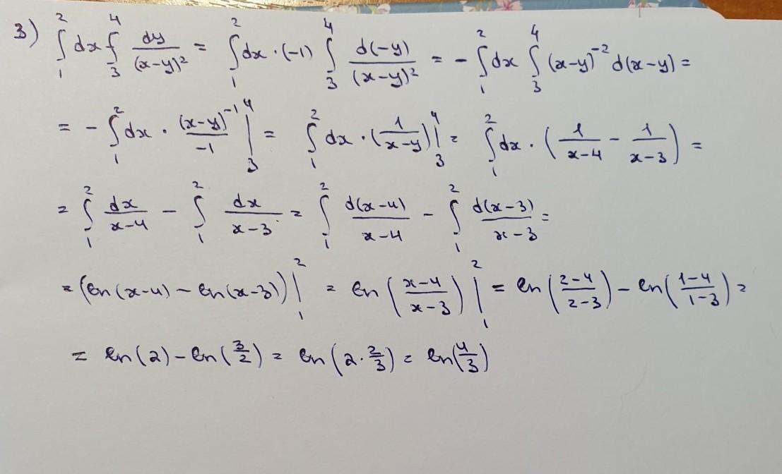
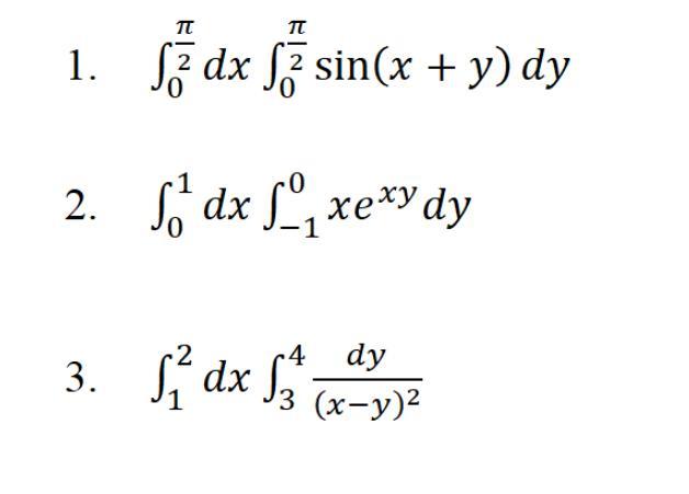
Ответ:
решение на фотографии
Приложения:


Вас заинтересует
2 года назад
2 года назад
8 лет назад
8 лет назад
9 лет назад