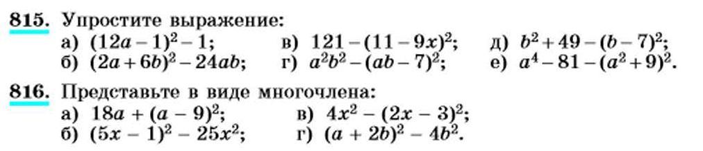
Алгебра 7 класс (Упрощение выражений с помощью формулы возведение в квадрат суммы и разности двух выражений)
Приложения:



Ответа на этот вопрос пока нет. Попробуйте найти его через форму поиска.
Вас заинтересует
2 года назад
3 года назад
3 года назад
8 лет назад
9 лет назад