• Предмет: Алгебра
  • Автор: 2001043866
  • Вопрос задан 8 лет назад

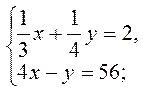
ДАЮ 35 БАЛЛОВ!!! БЫСТРЕЕ!!!

Приложения:

Ответа на этот вопрос пока нет. Попробуйте найти его через форму поиска.

Вас заинтересует