• Предмет: Алгебра
  • Автор: okzsdestvenskaa
  • Вопрос задан 8 лет назад

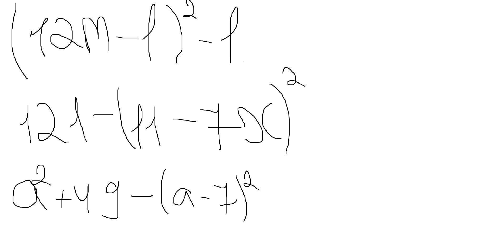
.................... помогите упростите выражение

Приложения:

Ответы

Ответ дал: narminmamedzadeh
0

Ответ:

1) (12m-1)^2-1=144m^2-24m+1-1=144m^2-24m=24m(6m-1)

2) 121-(11-7x)^2=121-121+154x-49x^2=7x(22-7x)

3) a^2+49-(a-7)^2=a^2+49-(a^2-14a+49)=a^2+49-a^2+14a-49=14a

Ответ дал: ЯгодкаЯлесная
0

Ответ:

фоточка тебе в помощь ;)

Приложения:
Вас заинтересует